| 索 引 号: | 011217651/2019-22213 | 文 号: | 鄂州政办发〔2019〕26号 |
| 发布机构 : | 市政府办公室 | 发布日期: | 2019年12月23日 |
| 信息分类 : | 其他主动公开文件 | 有效性: | 有效 |
各区人民政府,葛店开发区、临空经济区管委会,市政府各部门:
为推进我市生态价值工程深入实施,扎实开展长港河等市内主要流域上下游生态保护补偿工作,根据《省人民政府办公厅关于建立健全生态保护补偿机制的实施意见》(鄂政办发〔2018〕1号)等有关文件精神,特制定如下实施意见。
一、总体要求
(一)工作目标
2019年,先期在长港河流域开展上下游横向生态保护补偿试点工作,推动建立适合长港河流域实际情况的生态保护补偿机制。2022年,在长江鄂州段右岸、薛家沟、新港河等流域建立补偿机制;力争2023年在梁子湖、梧桐湖、五四湖(含曹家湖、垱网湖)、三山湖、高桥河等跨行政区域主要湖泊河流,推进建立跨界地表水断面生态补偿机制。探索建立饮用水水源地和水生态修复治理区、水产种质资源保护区等重要区域的生态补偿机制,实现湿地、河湖等重点领域生态补偿全覆盖。
(二)工作原则
1.权责一致,合理补偿。按照生态环境保护要求,谁保护、谁受偿,谁受益、谁补偿,谁污染、谁治理,逐步建立责权利相一致的规范有效的生态补偿机制。流域上游承担保护生态环境责任,同时享有水质改善、水量保障带来利益的权利。流域下游对上游为改善生态环境的付出作出补偿,同时享有上游水质恶化、过度用水的受偿权利。
2.市级引导、区级为主。市级制定长港河流域横向补偿框架,再由流域上下游区级政府协商调整。市级财政积极整合资金对流域上下游建立横向生态保护补偿给予引导支持,推动建立长效机制。
3.试点先行,稳步推进。先期在长港河流域上下游开展横向生态保护补偿试点,在积累总结经验的基础上,逐步扩大到长江鄂州段右岸、薛家沟、新港河等流域。积极争取省级层面推动梁子湖、梧桐湖、五四湖(含曹家湖、垱网湖)、三山湖、高桥河等跨行政区域主要湖泊河流,建立跨界水质保护生态补偿、流域上下游横向生态补偿机制。
二、重点任务
(一)明确补偿原则。按照“谁超标、谁赔付,谁受益、谁补偿”的原则,建立以区级横向补偿为主、市级纵向补偿为辅的地表水断面生态补偿机制。将跨区界断面、出市境断面和国家考核断面列入补偿范围,实行“双向补偿”。即:断面水质生态补偿指数(M)小于1时,上游责任区获得生态补偿金;断面水质生态补偿指数(M)大于1时,上游责任区向下游责任区支付生态补偿金。以流域跨界地表水断面的水量水效作为流域上下游横向生态保护补偿的补充。年度水质类别为劣Ⅴ类、未达到年度水质目标或发生较大以上级别突发环境事件的断面,上下游责任区均向市级财政支付污染赔付金,用于补充生态补偿资金池。补偿断面水质年度目标根据各区签订的《水污染防治目标责任书》确定,未列入目标责任书的断面,水质年度目标根据《全国重要江河湖泊水功能区划(2011—2030年)》确定。梳理汇总流域内近3年连续监测指标及地表水断面水质完成情况,为开展横向生态保护补偿提供客观权威的地表水水质水量监测数据。(责任单位:市财政局、市生态环境局、市水利和湖泊局,各区人民政府,葛店开发区管委会)
(二)明确监测方法。水质以跨行政区域交界断面水质自动监测站作为考核监测断面,相关区对交界断面水质自动监测数据开展联合审核,每月底前公布上月水质平均监测数据。监测期间如遇不可抗力因素等导致水质异常波动,由相关区两地会商研究水质手工监测具体事宜。两地对监测数据存在争议时,由市生态环境局依据相关数据核定。水量和水效以鄂州市水资源公报核定数据为准,有异议的由市水利和湖泊局组织两地会商确定。(责任单位:市生态环境局、市水利和湖泊局,各区人民政府,葛店开发区管委会)
(三)筹集补偿资金。2019年—2021年,市政府每年专项列支500万元作为长港流域纵向生态补偿奖补资金,根据断面水质优劣考核情况据实拨付,各相关区每年初分别向市政府缴纳水质保证金150万元,用于纵向生态补偿资金的赔付。(责任单位:市财政局,鄂城区人民政府、梁子湖区人民政府)
(四)确定补偿方式。补偿方式分为横向补偿和纵向补偿,
横向生态补偿资金测算依据主要以水质指标为主,并参考水量水效等指标因素进行综合评价,确定补偿方向和补偿资金,纵向生态补偿则根据断面水质类别测算污染赔付金和生态补偿金(具体测算方法附后)。污染赔付金和生态补偿金从全市生态价值工程结算总额中支付。(责任单位:市财政局、市统计局、市生态环境局、市水利和湖泊局,各区人民政府、葛店开发区管委会)
(五)建立联防共治机制。流域上下游地区应当建立联席会议制度,按照流域水资源统一管理要求,协商推进流域保护与治理,联合查处跨界违法行为,建立重大工程项目环评共商、环境污染应急联防机制。流域上游地区应有效开展农村环境综合整治、水源涵养建设,实施河道清淤疏浚等工程措施。流域下游地区也应当积极推动本行政区域内的生态环境保护和治理,并对上游地区开展的流域保护治理工作、补偿资金使用等进行监督。(责任单位:市生态环境局、市水利和湖泊局、市财政局、市自然资源和规划局,各区人民政府,葛店开发区管委会)
(六)签订补偿协议。流域上下游地区应当签订具有约束力的横向生态保护补偿协议,明确补偿方式、标准、联防共治机制以及双方权责等内容,并报市人民政府备案。(责任单位:市财政局、市发改委、市生态环境局、市水利和湖泊局,各区人民政府,葛店开发区管委会)
(七)完善工作机制。市财政局牵头制定《鄂州市流域生态保护补偿资金管理办法》,完善转移支付机制,建立全市流域内上下游生态保护横向补偿资金投入机制。加大市级预算内统筹资金、环保专项资金对流域内重大环保治污工程、水源涵养工程、监测网络体系等基础设施建设支持力度,强化生态保护补偿资金使用监管。市生态环境局牵头制定《鄂州市地表水断面生态补偿暂行办法》,推进流域生态环境保护和监测网络体系建设,合理设置补偿断面,按照国家要求组织开展断面水质监测,并根据环境管理需要调整断面设置和水质目标。市水利和湖泊局协助市生态环境局做好流域断面的确定和设置工作,做好生态流量管理及水量监测工作,公布各区水量和水效指标。(责任单位:市财政局、市生态环境局、市水利和湖泊局,各区人民政府,葛店开发区管委会)
三、保障措施
(一)强化责任落实。市发改委统筹协调长港河流域横向生态补偿工作,流域上下游各区人民政府要根据统一部署制定具体实施办法,明确工作任务及时间表,积极推动本行政区域内流域上下游尽快达成横向生态保护补偿协议,并抓紧组织实施。
(二)完善考核机制。对纳入全市纵向生态保护补偿机制的区,由市政府按全市统一的生态保护标准进行考核,考核结果作为对各区生态建设进行补偿或行政处罚的依据。对纳入横向生态保护补偿机制的区,由市财政局会同相关部门对各区生态保护工作开展考核评估,其结果作为各区之间签订横向生态保护补偿协议的重要依据。
(三)加大财政支持。对建立横向生态补偿机制,上下游相关区形成统一标准、联合执法、定期会商等共抓大保护格局的,市财政局和市生态环境局争取的国家、省级生态奖励资金直接拨付给相关区。市财政对率先达成补偿协议的区优先给予适当奖励,鼓励早建机制。
附件:长港河等主要流域上下游生态补偿资金测算方法
鄂州市人民政府办公室
2019年12月9日
附件
生态补偿资金测算方法
为科学合理测算生态补偿资金,确保我市长港河等主要流域上下游生态保护补偿机制发挥最大效益,特制定如下测算方法:
一、横向生态补偿资金测算方法
横向生态补偿资金测算依据主要以水质指标为主,并参考水量水效等指标因素进行综合评价,确定补偿方向和补偿资金。
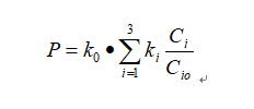
1.测算水质补偿指数P。按照《地表水环境质量标准》(GB3833—2002),以高锰酸盐指数、氨氮、总磷等3项考核指标前三年平均浓度值为基本限值,测算水质补偿指数P。具体方法如下:

式中:P——断面的水质补偿指数。
k0——水质稳定系数,考虑降雨径流等自然条件变化因素,丰枯水期分化明显,只有上游保证一定的生态流量才能确保水质达标,k0取值0.80。
ki——指标权重系数,按三项指标平均分配,ki取值0.33。
Ci——某项指标的年均浓度值。
Cio——某项指标的基本限值。
2.测算水量水效补偿指数Q。按照绿色发展考核和水资源消耗双控的要求,以省、市确定的用水总量、工业和生活用水量和年度万元GDP用水量、万元工业增加值用水量指标为基本限值,综合测算水量水效补偿指数Q。具体方法如下:

式中:Q——水量水效补偿指数
Ao——不平衡系数,Ao取值0.90。
Ki——指标权重系数,用水总量、工业和生活用水量指标权重分别取值0.3,万元GDP用水量、万元工业增加值用水量指标权重分别取值0.2。
Wi——上游地区某项指标的当年实际值。
Wi0——某项指标的基本限值。
3.测算断面水质生态补偿指数M。水质补偿指数P和水量水效补偿指数Q按8:2的权重计算生态补偿指数(M)。计算公式为:
M=0.8*P+0.2*Q
当断面水质生态补偿指数M<1,下游责任区拨付给上游责任区500万元资金;当断面水质生态补偿指数M﹥1或上游出现重大水污染事故(以省环保厅界定为准)或交接断面水质不能满足国家、省、市要求的断面水质目标或上游区用水总量和用水效率未优于省、市下达的水资源消耗双控指标,上游责任区拨付给下游责任区500万元资金。
二、纵向生态补偿资金测算方法
纵向生态补偿资金根据断面水质类别进行测算,断面水质类别按照《地表水环境质量标准》(GB3838—2012)表1中除水温、总氮、粪大肠菌群以外的21项指标确定。断面水质类别优于年度水质目标类别的,市财政对责任区进行生态补偿。生态补偿标准为:年度断面水质优(劣)于目标水质1个类别的,责任区每项获得(上缴)5万元生态补偿金(污染赔付金);优(劣)于目标水质2个类别以上的,责任区每项获得(上缴)10万元生态补偿金(污染赔付金)。责任区生态补偿总额为所有优于水质类别的生态补偿金减去所有劣于水质类别的生态污染赔付金之和,其中,年污染赔付金总额不超过150万元,年生态补偿总额不超过500万元。
年度水质类别为劣Ⅴ类、未达到年度水质目标或发生较大以上级别突发环境事件的断面,当年不予发放生态补偿金,污染赔付金正常收缴。突发环境事件等级按照《国家突发环境事件应急预案》分级标准确定。
三、其他
本测算方法由市发改委负责解释。